무릎 통증의 물리적 정량화
개요
- 통증과 무릎모멘트의 상관관계: 무릎 내전 모멘트(KAM)와 굴곡 모멘트(KFM)를 통해 환자의 통증 수준과 미래 손상 가능성의 상관관계 설명
- EMG 기반 측정 방법론 채택: 관절 하중의 60~100% 가 근육 수축에 의한 내부 하중임을 근거로, EMG 센서를 활용한 실시간 하중 추정 논리를 수립
배경
조사 배경
COSuit 정당성 조사의 필요성
- COSuit는 무릎 통증을 경감시켜주기 위한 기기
- 무릎 통증이 무릎에 걸리는 어떤 물리량과 관련있는지 조사
- Gain 값 인가시에 해당 물리량이 어떻게 변화하는지 관찰 필요
방향성
Goal
- 근육-하중-통증으로 이어지는 상관관계를 정립함
- 보조를 통해서 하중과 통증이 줄어들 수 있는지 없는지를 판단하는 매커니즘을 제시
Non-goal
- COSuit 기기가 어떠한 방식으로 하중을 줄일 수 있는지는 보고서의 범위 밖
Future work
- COSuit 기기가 어떤 원리로 하중을 줄일 수 있는지 조사 및 정리 필요
분석 및 정량화 모델
사전지식
GRF와 KAM
- GRF(Ground Reaction Force): 지면을 디딤으로서 지면에서 발생하는 반발력, 무릎 중앙을 축으로 했을때 내측으로 발생한다고 알려짐
- KAM(Knee Adduction Moment)
- GRF로 인해 발생하는, 내측으로 무릎이 휘게하는 모멘트 (GRF * 모멘트암)
- 모멘트암 = 무릎 중심에서 GRF까지의 최단거리
- KFM, KEM
- Knee Flexion Moment, Knee Extension Moment
- KFM: 입각기에 GRF로 인해 발생하는 굽혀지는 힘
- KEM: KFM에 대항하여 사람이 발생시키는 힘
! 550
통증 평가 도구 및 방법
| 평가 범주 | 방법론 | 주요 측정 항목 | 임상 실용성 | 주요 장점 및 한계 |
|---|---|---|---|---|
| 주관적 강도(Self-reporting) = 통증 점수 | 설문지 (NRS, WOMAC 등) | 통증의 세기, 빈도, 일상생활 영향 | 매우 높음 (일상 진료의 핵심) | * 장점: 신속하고 비용이 들지 않으며 임상적으로 검증됨 * 한계: 환자의 주관에 의존하며 기억력이나 인지 상태의 영향을 받음 |
| 통증 위치 (Location) | 무릎 통증 지도 (Knee Pain Map) | 통증의 구체적인 부위 및 패턴(국소, 지역, 확산) | 높음 (환자 교육 및 진단 보조) | * 장점: 재현성이 높고 환자가 이해하기 매우 쉬움 * 한계: 통증의 강도나 빈도에 대한 정보는 전혀 알 수 없음 |
| 신경 생리학 (Imaging) | 기능적 MRI (fMRI) | 통증 시 활성화되는 뇌 영역 및 중추 감작 지표 | 매우 낮음 (주로 연구용) | * 장점: 통증의 중추적 기전(뇌 변화)을 객관적으로 시각화함 * 한계: 비용이 비싸고 장비 접근성이 낮아 실제 진료엔 부적합함 |
| 감각 민감도 (QST) | 압력 통증 역치 (PPT) & 조절된 통증 변조 (CPM) | 통증 역치 및 신경계의 통증 억제 능력 | 낮음 (연구 및 특수 목적) | * 장점: 말초성 vs 중추성 통증을 구별하고 맞춤형 치료 근거를 제공함 * 한계: 심리적 요인이나 약물 복용에 의해 결과가 왜곡될 수 있음 |
무릎 하중과 통증의 관계 정립
-
무릎 하중과 통증 점수를 연관짓는것에 대한 어려움
- 무릎 하중에 대한 물리량 대비, 통증은 개인마다 상대적임
- KAM or GRF을 입력으로 하고 통증 정도를 출력으로 하는 알고리즘 or 연관 수식은 찾을 수 없었음
-
KAM과 미래의 무릎 고통과 상관관계
-
KAM값이 높은 비교군은 낮은 비교군 대비 3~4년 뒤 통증호소를 할 확률이 더 높았다.
활동 정상 그룹 (평균 KAM) 통증 발생 그룹 (평균 KAM) 차이 (%) 서 있기 0.42 ± 0.29 0.59 ± 0.43 +35% 의자에서 일어나기 1.15 ± 0.54 1.31 ± 0.70 +8% 걷기 3.05 ± 1.25 3.55 ± 1.56 +13% 계단 내려가기 4.42 ± 1.69 6.12 ± 1.88 +39% - KAM에 의한 차이의 유의확률 P = 0.01 (우연일 확률)
- 교란 변수
- 나이 유의확률 P > 0.3
- BMI 유의확률 P ≥ 0.1
-
-
KAM, KFM과 무릎 고통과의 상관관계
-
상관관계 Path

- Edge의 숫자는 피어슨 상관관계 지수
- 상관관계 지수를 제곱시, 결정계수를 계산할 수 있음
- Pain에는 KFM과 심각도가 영향을 미침
-
한계점
- KFM과 질병의 심각도를 합쳐도 통증 변동의 26.5%밖에 설명하지 못함
- 나머지 73.5%는 하중외의, 심리적 요인, 개인의 통증 민감도 등에 달림
- 하중 때문에 아픈 것인지, 아파서 하중이 변한것인지 인과관계 불명
- 적은 표본(47명), 심한 골관절염 환자는 제외된 표본
- KFM과 질병의 심각도를 합쳐도 통증 변동의 26.5%밖에 설명하지 못함
-
결론
- 무릎의 고통은 무릎의 물리량과 중증도에 의해 일부 영향을 받음
- 중증도 초기에 무릎의 물리량을 줄이는 것이 통증을 방지하는데에 중요함
EMG 기반 하중 추정 메커니즘
Overview
- 근육 수축에 의한 Force가 전체 무릎 부하에 60~100% 차지함
- 무릎 부하는 통증의 직접적인 원인이므로, 근육 수축을 확인하여 통증의 증감을 확인할 수 있음
보행시 발생하는 모멘트
외력에 의한 부하는 오른쪽 그림의 빨간 화살표와 같이 발생함
- 보행시 GRF는 무릎 중심보다 내측을 지나며 위로 밀어올리는 힘을 만듦
- 이 힘 때문에 무릎을 안쪽으로 꺾으려는 내전 모멘트가 자연적으로 발생함
- 마지막으로 외측 무릎이 들리는 현상이 발생함
→ 무릎 근육이 내부적인 힘을 만들어내어 무릎 관절이 꺾이거나 벌어지지 않게함
근육을 수축시켜 외부부하를 상쇄하고 unloading을 방지함

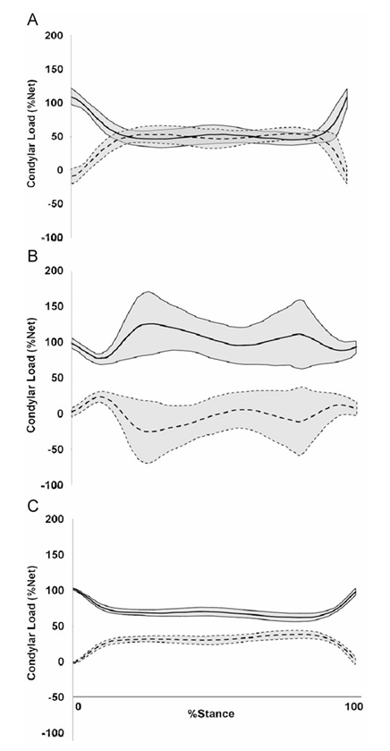
내측과 외측에 발생하는 부하
아래 그림은 무릎 관절이 받는 전체 관절 압력에 대한 그림
실선: 내부부하, 무릎 근육 수축으로 인한 무릎에 인가되는 부하
점선: 외부부하, 순수하게 지면에서 올라온 힘이 무릎에 주는 부하
A는 내측 무릎: 전체 부하의 절반이 근육 수축으로 인한 내전, 또 다른 절반이 GRF로 인한 내전(KAM)임을 확인가능
B는 외측무릎: 외부 부하인 점선이 오히려 - 방향, 즉 무릎을 들어올리는 방향으로 힘을 작용시킴 → 근육이 100% 이상의 힘으로 내전을 발생시켜 무릎의 평형을 지킴
C는 A와 B의 합산으로 전체 무릎에 대한 부하(즉 통증) 기여도를 확인가능
무릎의 수축: 60~100%
외력: 0~40%


- 가장 왼쪽 그림은 각 근육이 보행 페이즈에서 발생시키는 힘을 나타냄 (무게로 정규화)
- 0~40% 의 구간에서 대퇴사두가 가장 많은 힘을 발생시킴 (체중 지지할때 HS)
- 50~80% 의 구간에서 비복근(종아리) 가 가장 많은 힘을 발생시킴 (앞으로 나아가는때 TO)
- 중간 그림의 가는 실선은 논문에서 측정한 KAM의 크기를 나타냄 (키와 무게로 정규화)
- 0~40% 의 구간과 50~80% 의 구간에서 peak가 발생함
- 가장 오른쪽 그림의 실선은 근육이 내는 모멘트를 나타냄, 점선은 KAM을 나타냄
- 위 아래로 넣어 어느정도의 모멘트까지 커버할 수 있는지 묘사함
결론
- 근육은 관절의 안정성을 위해 무릎 관절 하중의 대부분을 만들어냄
- 근육이 내는 힘이 작아진다면 무릎의 통증도 작아졌다고 유도할 수 있음
레퍼런스
- KAM이 미래 고통을 야기함
- Knee adduction moment and development of chronic knee pain in elders
- KAM, KFM과 통증의 관계, KAM 지수
- Exploring the relationship between pain intensity and knee moments in participants with medial knee osteoarthritis: a cross-sectional study
- 무릎 근육에 의한 하중 증가에 관한 연구
- Muscle and external load contribution to knee joint contact loads during normal gait
- 통증 평가 도구 및 방법
- Assessment of Pain in Osteoarthritis of the Knee